01實驗目的
消費者實驗被廣泛應用于分析消費者對樣品的態度,以確定消費者是否更喜歡某一種食品。實驗不需要詳細評定食品的某些感官特征,而只是一個綜合的印象和個人喜好。
02實驗材料和用具
實驗材料可以是兩種不同企業生產的同一類型的食品,如飲料、巧克力或者火腿腸等,也可以是同一企業內部開發的新產品與老產品。
03 實驗內容
向消費者提供兩種食品,可以下列兩種不同的方法進行鑒定:
(1)由左至右鑒定兩個食品,進行綜合評定,對于更喜歡的食品,將符號“√ ”填入方框中。必須有一個選擇。例如:
(2)用認為最合適的級數值對樣品進行評定,將符號“√”填入方框中。例如:
04實驗目的
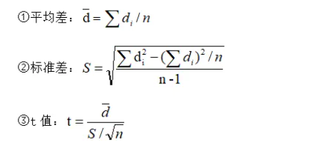
(1)應用t值表進行統計分析。
(2)應用t分布表進行配對食品統計分析。
如果t>t表,則兩種食品之間存在顯著差別;如果t<t表,則兩個食品之間無顯著差別。
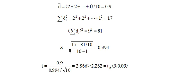
例如,調查 A、B兩種食品的消費者喜愛程度,結果見表1。
所以對于食品 A和 B,消費者更喜歡食品 A。
05 實驗報告
(1)應用上述兩種方法分析實驗數據。
(2)比較討論由上述兩種方法求得的實驗結果。
參考書籍:李莉 金鵬主編,《食品感官評定》第二版。
提醒:文章僅供參考,如有不當,歡迎留言指正和交流。且讀者不應該在缺乏具體的專業建議的情況下,擅自根據文章內容采取行動,因此導致的損失,運營方不負責。如文章涉及侵權或不愿我平臺發布,請聯系處理。
消費者實驗被廣泛應用于分析消費者對樣品的態度,以確定消費者是否更喜歡某一種食品。實驗不需要詳細評定食品的某些感官特征,而只是一個綜合的印象和個人喜好。
02實驗材料和用具
實驗材料可以是兩種不同企業生產的同一類型的食品,如飲料、巧克力或者火腿腸等,也可以是同一企業內部開發的新產品與老產品。
03 實驗內容
向消費者提供兩種食品,可以下列兩種不同的方法進行鑒定:
(1)由左至右鑒定兩個食品,進行綜合評定,對于更喜歡的食品,將符號“√ ”填入方框中。必須有一個選擇。例如:

(1)應用t值表進行統計分析。
(2)應用t分布表進行配對食品統計分析。

例如,調查 A、B兩種食品的消費者喜愛程度,結果見表1。
表1 食品喜愛程度調查表


所以對于食品 A和 B,消費者更喜歡食品 A。
05 實驗報告
(1)應用上述兩種方法分析實驗數據。
(2)比較討論由上述兩種方法求得的實驗結果。
參考書籍:李莉 金鵬主編,《食品感官評定》第二版。
提醒:文章僅供參考,如有不當,歡迎留言指正和交流。且讀者不應該在缺乏具體的專業建議的情況下,擅自根據文章內容采取行動,因此導致的損失,運營方不負責。如文章涉及侵權或不愿我平臺發布,請聯系處理。




