1、前言
人類味覺是一種重要的生理感受,在食品工業中扮演著重要的作用,主要分為酸、苦、咸、甜、鮮五種基本味覺。人們味覺直接影響消費者對食物的接受程度與購買的可能性。其中鮮味是一類不同于甜、苦、酸和咸味的基本味覺。鮮味劑又稱增味劑。向食品中添加鮮味劑,能夠提高食品的某些風味特征,如持久性、豐富性、滿口性和濃厚感。傳統的鮮味劑主要包括氨基酸及其鈉鹽、核苷酸及其鈉鹽、有機酸及其鈉鹽三類。研究發現鮮味物質存在于各種各樣的食物中,包括海鮮(如魚、海藻、蛤蜊和牡蠣),奶酪和蔬菜(如食用菌、大豆、胡蘿卜)等。
從20世紀60年代初,人們就對味覺物質間的互相作用進行過研究,取得了較可靠有用的成果。但是隨著人們對味覺認知的提升,為了更全面的解釋味覺物質之間的相互作用,多種方法(物理、化學和感官分析法)被用來進行味覺相互作用的分析。當品嘗食品時,相同物質的不同濃度梯度對人類舌頭的刺激是不同的。味覺濃度和味覺響應強度之間可以建立相應的響應曲線。當兩種不同味覺物質混合時,會出現非線性的增強或抑制作用。研究表明甜味物質在低濃度時和其它味覺物質的相互作用是復雜的。有研究報道中、高濃度的谷氨酸鈉可以抑制苦味強度,而在高濃度時可以增強咸味強度。酸和鹽相互作用時兩者的味覺強度會受到影響:在低濃度時可增強味覺相互作用;在高濃度時,味覺相互作用得到抑制或不發生變化。
本部分主要通過電子舌技術對8種單一基本鮮味物質(a.氨基酸類:L-谷氨酸鈉、L-天門冬氨酸鈉; b.核苷酸類:、5′-肌苷酸二鈉、5′-鳥苷酸二鈉、5′-腺苷酸二鈉、5′-胞苷酸二鈉、5′-尿苷酸二鈉;c.有機酸類:琥珀酸二鈉)進行電子舌響應,建立濃度和鮮味強度之間的響應曲線,探究不同鮮味物質在電子舌上響應的規律性;并以谷氨酸鈉為代表探究鮮味物質的添加對酸(檸檬酸)、甜(蔗糖)、苦 (奎寧)、咸(氯化鈉)4種味感物質的作用規律,為低鹽調味品的開發奠定基礎。
2 材料和方法
2.1 樣品與試劑
8種鮮味物質(L-谷氨酸鈉、L-天門冬氨酸鈉、5′-肌苷酸二鈉、5′-鳥苷酸二鈉、5′-腺苷酸二鈉、5′-胞苷酸二鈉、5′-尿苷酸二鈉和琥珀酸二鈉)、蔗糖、奎寧、氯化鈉和檸檬酸均為食用級,購自鄭州天峰食品科技有限公司;0.1mol/L氯化鈉、0.1 mol/L鹽酸和0.1mol/L谷氨酸鈉,購自法國Alpha.M.O.S公司。
2.2 主要儀器設備
2.3 樣品制備
單一鮮味物質濃度:按表2.2和2.3所列的濃度,準確稱取不同量的谷氨酸鈉、天冬氨酸鈉、肌苷酸鈉、鳥苷酸鈉、腺苷酸鈉、胞苷酸鈉、鳥苷酸鈉和琥珀酸二鈉,溶液蒸餾水中攪拌溶解,待全部溶解后,轉移至100mL的容量瓶中,定容,配制成表中所示的濃度,備用。
鮮味與酸、甜、苦和咸味相互作用的溶液配制:參考ISO3972:1991,假定0.08、0.34、1.00g/L分別代表鮮味的低、中、高濃度,將這三個濃度的谷氨酸鈉溶液添加到酸、甜、苦和咸所設的7個不同濃度的溶液中,對所配制的溶液進行電子舌檢測和感官評價分析。


2.4 電子舌分析方法
本實驗采用法國Alpha M.O.S公司的ASTREE II電子舌系統,利用五味傳感器陣列對樣品進行分析。傳感器陣列包括酸(SRS)、咸(STS)、鮮(UMS)、甜(SWS)、苦(BRS)、復合傳感器1(SPS)、復合傳感器2(GPS)7根電化學傳感器和1根Ag/AgCl 參比電極組成,對五種基本味道進行分析檢測。
為了保證檢測數據的穩定性和準確性,保證電子舌在測試前各項參數指標達到最佳。在進行檢測之前需要對電子舌進行活化、校準和診斷。首先進行被動活化,將盛有蒸餾水的電子舌專用燒杯放入自動進樣盤的1號位,手動控制將傳感器陣列浸于蒸餾水中,浸泡活化30 min;之后用Alpha M.O.S公司自帶的0.01 mol/L的NaCl(氯化鈉)、HCl(鹽酸)和MSG(谷氨酸鈉)溶液按設定的程序進行主動活化、校準和診斷。將待測樣品溶液盛入電子舌專用燒杯中,采用待測樣品和蒸餾水交替的方式進行檢測。電子舌對樣品采集的最初幾次數據不穩,傳感器響應值有一定程度的上下波動。預實驗結果表明,檢測2-3 次后,傳感器的響應值趨于穩定。因此,每個樣品確定采集6次平行數據,取穩定后的3次實驗數據。樣品檢測時間為10s,檢測溫度為室溫,利用電子舌自帶的數據處理軟件對味覺強度數據進行采集。
2.5 感官分析
對15名小組成員進行為期一個月的味覺物質的感官描述和分類的培訓。所有成員都能很好地對風味物質進行評價和打分,不能識別和區分酸、甜、苦、咸和鮮種類和強度的小組成員將其剔除。受訓后, 5男5女,共10人組成感官評價小組。感官測試在特定的實驗室中進行。評分采用10點制,0~2,味覺強度很弱(若有若無);2~4,弱;4~6,中等;6~8,強;8~10,非常強。味覺強度的評分從0到10分,0代表某種味覺強度不存在,10分代表味覺強度高。感官評價時,樣品用編碼編號為了減少主觀因素造成的干擾,所有樣品均隨機呈現給感官品評員,重復3次,在整個品評過程中,一個樣品品評結束后,另一個樣品開始之前要用純凈水漱口。為了避免溫度差異,所有測試樣品于恒溫水浴鍋中保持45℃。
2.6 數據分析
采用電子舌自帶的Astree統計分析軟件對味覺物質電子舌采集數據進行主成分分析(PCA)和判別因子分析(DFA)的處理和分析,響應值用宏處理器進行處理,味覺響應值被轉換為0-12的相對響應值。
(1)主成分分析法(PCA)
PCA是一種基于變量協方差矩陣對信息進行處理、提取和壓縮的有效方法,它是一種分析、簡化數據集的技術,能將數據集由高維空間轉化到低維空間處理又能提供原有數據所包含的絕大部分信息。即主成分分析是通過數學變換的方法,選出少量方差較大的變量解釋大部分原始信息,這些新的變量即構成主成分。
(2)判別因子分析法(DFA)
DFA一種用來建立模型、識別未知樣品、對未知樣品進行歸類的一種的數理統計方法。通過數學轉換,建立數據識別模型,使具有差異的不同類樣品數據間的距離盡可能擴大,同類樣品數據間的距離盡可能的縮小。
3 結果與討論
3.1 基于電子舌對不同濃度單一味覺鮮味物質的檢測
不同濃度梯度單一鮮味物質的電子舌檢測結果如圖1所示。
3.2 基于電子舌對相同濃度梯度的單一味覺鮮味物質的檢測
對8種不同的鮮味劑通過電子舌技術來檢測,將檢測所得數據進行主成分分析,結果見圖2.2。
3.3 單一味覺鮮味物質的感官評價結果
感官評價員可以很容易地對不同濃度的單一鮮味物質進行區分和鮮味強度的排序,鮮味強度隨著濃度的增大而增強。由于是對同一種物質稀釋的不同濃度進行評價,而不是混合物,在一定程度上降低了感官評價的難度。相對于單一鮮味物質的感官評價,兩種味覺相互作用的結果是復雜和難以預料的。
3.4 基于電子舌對鮮味物質與酸、甜、苦、咸二元相互作用的分析
將鮮味的代表物質谷氨酸鈉分別與酸、甜、苦、咸4種味感物相互作用,進行分析在已給定的濃度范圍內確定味感物質相互作用的增強或抑制濃度區間。參考國標ISO3972:1991,假定0.08,0.34,1.00分別代表鮮味物質的低、中、高濃度。
3.4.1 鮮味物質的添加對酸味強度的影響作用
按表稱取一定量的酸與不同濃度的鮮味物質相互混合配成100mL的溶液,待用。通過電子舌和感官評價兩種方法對鮮味和酸味的二元相互作用結果進行分析,結果見表2.4。
從表2.4中可以看出,向不同濃度(0.13-0.6g/L)的酸味溶液中添加中、高濃度(0.34-1.00g/L)的鮮味物質,電子舌檢測到的酸味強度都有一定程度的降低,即鮮味的添加對酸味具有緩沖作用。這與人的感官評價結果基本相一致,但其中向高濃度的酸味物質中加入低濃度的鮮味物質,人感官評價的酸味強度與未添加鮮味物質的酸味強度相近。這可能是由于電子舌的感官比人類感官更敏感、人類感官易疲勞、誤差大等原因。
3.4.2 鮮味物質的添加對甜味強度的影響作用
按表稱取一定量的甜味物質與不同濃度的鮮味物質相互混合配成100mL的溶液,待用。通過電子舌和感官評價兩種方法對鮮味和甜味的二元相互作用結果進行分析,結果見表2.5。
從表2.5中可以看出,不同濃度梯度甜味溶液的電子舌響應,隨著濃度的增大響應值降低;低濃度的鮮味物質加入不同濃度的甜味溶液中,電子舌檢測到的甜味強度都有一定程度的增強,濃度不同,甜味強度增強的程度也不相同,隨著甜味濃度的增加,甜味強度增大的趨勢變大。這與人為感官評價結果基本相一致;向不同濃度甜味溶液中加入中濃度的鮮味物質,電子舌檢測到甜味強度增強,而感官評價結果,最初變化較小,隨著甜味濃度的增大,甜味強度增強,而后甜味濃度繼續增大,鮮味物質的加入使甜味強度降低;高濃度鮮味物質加入不同濃度的甜味溶液中,電子舌檢測到的甜味強度呈現降低的趨勢,感官評價的鮮味強度,加入到低濃度甜味溶液中,甜味強度呈增加的趨勢,隨著甜味濃度的增大,鮮味物質加入后,甜味強度降低,表現為抑制作用。由于鮮味和甜味物質的二元相互作用,結果較復雜,電子舌和感官評價結果并不完全一致,但中高濃度(0.08-0.34g/L)鮮味物質的添加對中高濃度(0.94-4.32g/L)的甜味具有協同增強作用,可以提高甜味強度。
3.4.3 鮮味物質的添加對苦味強度的影響作用
按表稱取一定量的苦味物質與不同濃度的鮮味物質相互混合配成100mL的溶液,待用。通過電子舌和感官評價兩種方法對鮮味和苦味的二元相互作用結果進行分析,結果見表2.6。
由上述可知,中高濃度(0.34-1.00g/L)的鮮味物質的添加對低濃度(0.001-0.003g/L)的苦味具有抑制作用,可以降低苦味強度,為苦味強度的掩蓋提供理論依據。
3.4.4 鮮味物質的添加對咸味強度的影響作用
按表稱取一定量的咸味物質與不同濃度的鮮味物質相互混合配成100mL的溶液,待用。通過電子舌和感官評價兩種方法對鮮味和咸味的二元相互作用結果進行分析,結果見表2.7。
從表2.7中可以看出,低濃度的鮮味物質加入不同濃度的咸味溶液中,電子舌檢測到的咸味強度在一定程度上有所增強,濃度不同,咸味強度增大的程度也不同。人感官評價的咸味強度隨咸味溶液濃度的不同,而發生不同變化,呈現持平,增強的變化趨勢;中濃度鮮味物質加入不同濃度的咸味溶液中,電子舌檢測到的咸味強度先降低,后增強,而感官評價咸味強度,咸味強度呈現降低,持平,降低,持平,而后增高的變化趨勢;高濃度鮮味物質加入不同濃度的咸味溶液中,電子舌檢測到的咸味強度先降低后增強,感官評價的咸味強度先表現為持平,降低,持平,降低,在高濃度的咸味溶液中,隨著高濃度鮮味物質的加入,咸味強度先增強后降低。
由上述可知,低中濃度(0.08-0.34g/L)的鮮味物質的添加對中高濃度(0.69-2.00g/L)的咸味具有協同增效作用,可以提高咸味強度,為低鹽調味品的研制提供理論依據。
4本章小結
4.1基于電子舌探究8種不同濃度梯度的單一鮮味物質的響應變化規律,得出不同濃度梯度鮮味物質的響應值隨濃度的增加而增加,且鮮味響應值與濃度呈正相關的半對數關系,8種鮮味物質的曲線形狀和方程相似但不同,表明基于電子舌8種鮮味物質呈味特性相似但又各具特點。
4.2采用PCA和DFA兩種分析法對相同濃度梯度的8種鮮味物質進行區分識別,8種不同的鮮味劑能夠被很好的區分。區分指數為98,區分度較高。
4.3 通過電子舌技術和感官評價分析鮮味物質與酸味、甜味、苦味、咸味4種味覺物質的相互作用,其不同物質二元相互作用結果較復雜,初步得出中、高濃度(0.34-1.00g/L)鮮味物質的添加對低濃度(0.13-0.6g/L)酸味溶液具有緩沖作用,隨著鮮味物質的加入,酸味強度降低;低中濃度(0.08-0.34g/L)鮮味物質的添加對中高濃度(0.94-4.32g/L)
甜味溶液具有協同增效作用,可以提高甜味強度,為少糖飲料的開發提供理論基礎;中高濃度(0.34-1.00g/L)鮮味物質的添加對低濃度(0.001-0.003 g/L)苦味溶液具有抑制作用,可以降低苦味強度,為食品中苦味的掩蓋提供理論依據;低中濃度(0.08-0.34g/L)鮮味物質的添加對中高濃度(0.69-2.00 g/L)咸味溶液具有協同增效作用,可以提高咸味強度,為低鹽調味品的研制提供基礎。
來源:中外香精香料第一資訊 轉載請注明來源。
參考文獻
Kai Wang,Haining Zhuang,Fangling Bing,Da Chen,Tao Feng,Zhimin Xu.evaluation of eight kinds of flavor enhancer of umami taste by an electronic tongue.Food Science and Nutrition,9(4):2095-2104.
提醒:文章僅供參考,如有不當,歡迎留言指正和交流。且讀者不應該在缺乏具體的專業建議的情況下,擅自根據文章內容采取行動,因此導致的損失,運營方不負責。如文章涉及侵權或不愿我平臺發布,請聯系處理。
人類味覺是一種重要的生理感受,在食品工業中扮演著重要的作用,主要分為酸、苦、咸、甜、鮮五種基本味覺。人們味覺直接影響消費者對食物的接受程度與購買的可能性。其中鮮味是一類不同于甜、苦、酸和咸味的基本味覺。鮮味劑又稱增味劑。向食品中添加鮮味劑,能夠提高食品的某些風味特征,如持久性、豐富性、滿口性和濃厚感。傳統的鮮味劑主要包括氨基酸及其鈉鹽、核苷酸及其鈉鹽、有機酸及其鈉鹽三類。研究發現鮮味物質存在于各種各樣的食物中,包括海鮮(如魚、海藻、蛤蜊和牡蠣),奶酪和蔬菜(如食用菌、大豆、胡蘿卜)等。
從20世紀60年代初,人們就對味覺物質間的互相作用進行過研究,取得了較可靠有用的成果。但是隨著人們對味覺認知的提升,為了更全面的解釋味覺物質之間的相互作用,多種方法(物理、化學和感官分析法)被用來進行味覺相互作用的分析。當品嘗食品時,相同物質的不同濃度梯度對人類舌頭的刺激是不同的。味覺濃度和味覺響應強度之間可以建立相應的響應曲線。當兩種不同味覺物質混合時,會出現非線性的增強或抑制作用。研究表明甜味物質在低濃度時和其它味覺物質的相互作用是復雜的。有研究報道中、高濃度的谷氨酸鈉可以抑制苦味強度,而在高濃度時可以增強咸味強度。酸和鹽相互作用時兩者的味覺強度會受到影響:在低濃度時可增強味覺相互作用;在高濃度時,味覺相互作用得到抑制或不發生變化。
本部分主要通過電子舌技術對8種單一基本鮮味物質(a.氨基酸類:L-谷氨酸鈉、L-天門冬氨酸鈉; b.核苷酸類:、5′-肌苷酸二鈉、5′-鳥苷酸二鈉、5′-腺苷酸二鈉、5′-胞苷酸二鈉、5′-尿苷酸二鈉;c.有機酸類:琥珀酸二鈉)進行電子舌響應,建立濃度和鮮味強度之間的響應曲線,探究不同鮮味物質在電子舌上響應的規律性;并以谷氨酸鈉為代表探究鮮味物質的添加對酸(檸檬酸)、甜(蔗糖)、苦 (奎寧)、咸(氯化鈉)4種味感物質的作用規律,為低鹽調味品的開發奠定基礎。
2 材料和方法
2.1 樣品與試劑
8種鮮味物質(L-谷氨酸鈉、L-天門冬氨酸鈉、5′-肌苷酸二鈉、5′-鳥苷酸二鈉、5′-腺苷酸二鈉、5′-胞苷酸二鈉、5′-尿苷酸二鈉和琥珀酸二鈉)、蔗糖、奎寧、氯化鈉和檸檬酸均為食用級,購自鄭州天峰食品科技有限公司;0.1mol/L氯化鈉、0.1 mol/L鹽酸和0.1mol/L谷氨酸鈉,購自法國Alpha.M.O.S公司。
2.2 主要儀器設備

2.3 樣品制備
單一鮮味物質濃度:按表2.2和2.3所列的濃度,準確稱取不同量的谷氨酸鈉、天冬氨酸鈉、肌苷酸鈉、鳥苷酸鈉、腺苷酸鈉、胞苷酸鈉、鳥苷酸鈉和琥珀酸二鈉,溶液蒸餾水中攪拌溶解,待全部溶解后,轉移至100mL的容量瓶中,定容,配制成表中所示的濃度,備用。
鮮味與酸、甜、苦和咸味相互作用的溶液配制:參考ISO3972:1991,假定0.08、0.34、1.00g/L分別代表鮮味的低、中、高濃度,將這三個濃度的谷氨酸鈉溶液添加到酸、甜、苦和咸所設的7個不同濃度的溶液中,對所配制的溶液進行電子舌檢測和感官評價分析。


本實驗采用法國Alpha M.O.S公司的ASTREE II電子舌系統,利用五味傳感器陣列對樣品進行分析。傳感器陣列包括酸(SRS)、咸(STS)、鮮(UMS)、甜(SWS)、苦(BRS)、復合傳感器1(SPS)、復合傳感器2(GPS)7根電化學傳感器和1根Ag/AgCl 參比電極組成,對五種基本味道進行分析檢測。
為了保證檢測數據的穩定性和準確性,保證電子舌在測試前各項參數指標達到最佳。在進行檢測之前需要對電子舌進行活化、校準和診斷。首先進行被動活化,將盛有蒸餾水的電子舌專用燒杯放入自動進樣盤的1號位,手動控制將傳感器陣列浸于蒸餾水中,浸泡活化30 min;之后用Alpha M.O.S公司自帶的0.01 mol/L的NaCl(氯化鈉)、HCl(鹽酸)和MSG(谷氨酸鈉)溶液按設定的程序進行主動活化、校準和診斷。將待測樣品溶液盛入電子舌專用燒杯中,采用待測樣品和蒸餾水交替的方式進行檢測。電子舌對樣品采集的最初幾次數據不穩,傳感器響應值有一定程度的上下波動。預實驗結果表明,檢測2-3 次后,傳感器的響應值趨于穩定。因此,每個樣品確定采集6次平行數據,取穩定后的3次實驗數據。樣品檢測時間為10s,檢測溫度為室溫,利用電子舌自帶的數據處理軟件對味覺強度數據進行采集。
2.5 感官分析
對15名小組成員進行為期一個月的味覺物質的感官描述和分類的培訓。所有成員都能很好地對風味物質進行評價和打分,不能識別和區分酸、甜、苦、咸和鮮種類和強度的小組成員將其剔除。受訓后, 5男5女,共10人組成感官評價小組。感官測試在特定的實驗室中進行。評分采用10點制,0~2,味覺強度很弱(若有若無);2~4,弱;4~6,中等;6~8,強;8~10,非常強。味覺強度的評分從0到10分,0代表某種味覺強度不存在,10分代表味覺強度高。感官評價時,樣品用編碼編號為了減少主觀因素造成的干擾,所有樣品均隨機呈現給感官品評員,重復3次,在整個品評過程中,一個樣品品評結束后,另一個樣品開始之前要用純凈水漱口。為了避免溫度差異,所有測試樣品于恒溫水浴鍋中保持45℃。
2.6 數據分析
采用電子舌自帶的Astree統計分析軟件對味覺物質電子舌采集數據進行主成分分析(PCA)和判別因子分析(DFA)的處理和分析,響應值用宏處理器進行處理,味覺響應值被轉換為0-12的相對響應值。
(1)主成分分析法(PCA)
PCA是一種基于變量協方差矩陣對信息進行處理、提取和壓縮的有效方法,它是一種分析、簡化數據集的技術,能將數據集由高維空間轉化到低維空間處理又能提供原有數據所包含的絕大部分信息。即主成分分析是通過數學變換的方法,選出少量方差較大的變量解釋大部分原始信息,這些新的變量即構成主成分。
(2)判別因子分析法(DFA)
DFA一種用來建立模型、識別未知樣品、對未知樣品進行歸類的一種的數理統計方法。通過數學轉換,建立數據識別模型,使具有差異的不同類樣品數據間的距離盡可能擴大,同類樣品數據間的距離盡可能的縮小。
3 結果與討論
3.1 基于電子舌對不同濃度單一味覺鮮味物質的檢測
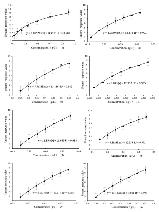
不同濃度梯度單一鮮味物質的電子舌檢測結果如圖1所示。

圖2.1 8種不同濃度梯度鮮味劑的電子舌檢測結果(1)谷氨酸鈉(2)天冬氨酸鈉(3)肌苷酸鈉(4)鳥苷酸鈉(5)腺苷酸鈉(6)胞苷酸鈉(7)尿苷酸鈉(8)琥珀酸二鈉
從圖2.1中可以看出,電子舌鮮味響應值與濃度呈正相關的半對數關系,隨濃度的增加不同濃度梯度鮮味物質的響應值也相應增加,這與Tian等的研究結果相一致。這8種鮮味物質的曲線形狀和方程相似,但是曲線方程的系數各不相同,方程系數大小的順序為K5>K8>K7>K3>K4>K2>K6>K1,表明基于電子舌8種鮮味物質的呈味性質相似但又各具特點。3.2 基于電子舌對相同濃度梯度的單一味覺鮮味物質的檢測
對8種不同的鮮味劑通過電子舌技術來檢測,將檢測所得數據進行主成分分析,結果見圖2.2。

圖2.2 8種相同濃度梯度鮮味劑的PCA結果圖
AMP-腺苷酸鈉,A-天冬氨酸鈉,CMP-胞苷酸鈉,GMP-鳥苷酸鈉,S-琥珀酸二鈉,IMP-肌苷酸鈉,MSG-谷氨酸鈉,UMP-鳥苷酸鈉;1-0.5g/L,2-1.0g/L; 3-2.0 g/L
從圖2.2中可以看出,8種不同的鮮味劑能夠被很好的區分。PC1和PC2兩個主成分的貢獻率分別為86.18%、9.15%,累計方差貢獻率為95.33%。說明PC1和PC2包含了較大的樣品信息量,能很好的反應樣品的信息,反應了不同鮮味劑的差異。3次重復數據點可以清晰的聚成一個獨立的族群,說明PCA分析得到的實驗數據的重復性很好。所有樣品組內離散度小,組間距離較大,DI為98,區分度較高。每種鮮味劑的兩個濃度在PC2上按低濃度在上,高濃度在下的順序排列。

圖2.3 8種相同濃度梯度鮮味劑的DFA結果圖
AMP-腺苷酸鈉,A-天冬氨酸鈉,CMP-胞苷酸鈉,GMP-鳥苷酸鈉,S-琥珀酸二鈉,IMP-肌苷酸鈉,MSG-谷氨酸鈉,UMP-鳥苷酸鈉; 1-0.5 g/L, 2-1.0g/L;3-2.0 g/L
從圖2.3上可以看出,樣品的組內離散度比PCA中的更小,組間空間距離變大,樣品完全分開,2個判別因子總貢獻率為95.41%,區分效果較好。沿DF1軸線方向MSG主要分布在右半部分,而其他樣品主要分布在左半部分;沿DF2軸線方向,AMP、A、CMP、UMP和MSG2、3主要分布在上半部分,S、IMP、GMP和MSG1則主要分布在下半部分。表明電子舌結合DFA法可用于食用菌的定性分析。綜合比較圖2.2和圖2.3,在對不同樣品的區分上DFA的區分效果優于PCA。3.3 單一味覺鮮味物質的感官評價結果
感官評價員可以很容易地對不同濃度的單一鮮味物質進行區分和鮮味強度的排序,鮮味強度隨著濃度的增大而增強。由于是對同一種物質稀釋的不同濃度進行評價,而不是混合物,在一定程度上降低了感官評價的難度。相對于單一鮮味物質的感官評價,兩種味覺相互作用的結果是復雜和難以預料的。
3.4 基于電子舌對鮮味物質與酸、甜、苦、咸二元相互作用的分析
將鮮味的代表物質谷氨酸鈉分別與酸、甜、苦、咸4種味感物相互作用,進行分析在已給定的濃度范圍內確定味感物質相互作用的增強或抑制濃度區間。參考國標ISO3972:1991,假定0.08,0.34,1.00分別代表鮮味物質的低、中、高濃度。
3.4.1 鮮味物質的添加對酸味強度的影響作用
按表稱取一定量的酸與不同濃度的鮮味物質相互混合配成100mL的溶液,待用。通過電子舌和感官評價兩種方法對鮮味和酸味的二元相互作用結果進行分析,結果見表2.4。
表2.4 鮮味與酸味物質的二元相互作用的結果

從表2.4中可以看出,向不同濃度(0.13-0.6g/L)的酸味溶液中添加中、高濃度(0.34-1.00g/L)的鮮味物質,電子舌檢測到的酸味強度都有一定程度的降低,即鮮味的添加對酸味具有緩沖作用。這與人的感官評價結果基本相一致,但其中向高濃度的酸味物質中加入低濃度的鮮味物質,人感官評價的酸味強度與未添加鮮味物質的酸味強度相近。這可能是由于電子舌的感官比人類感官更敏感、人類感官易疲勞、誤差大等原因。
3.4.2 鮮味物質的添加對甜味強度的影響作用
按表稱取一定量的甜味物質與不同濃度的鮮味物質相互混合配成100mL的溶液,待用。通過電子舌和感官評價兩種方法對鮮味和甜味的二元相互作用結果進行分析,結果見表2.5。
表2.5 鮮味與甜味物質的二元相互作用的結果

3.4.3 鮮味物質的添加對苦味強度的影響作用
按表稱取一定量的苦味物質與不同濃度的鮮味物質相互混合配成100mL的溶液,待用。通過電子舌和感官評價兩種方法對鮮味和苦味的二元相互作用結果進行分析,結果見表2.6。
表2.6 鮮味與苦味物質的二元相互作用的結果

從表2.6中可以看出,不同濃度梯度苦味溶液的電子舌響應,隨著濃度的增大響應值降低;低濃度的鮮味物質加入不同濃度的苦味溶液中,電子舌檢測到的苦味味強度在一定程度上有所降低,濃度不同,苦味強度降低的程度也不同。人感官評價的苦味強度隨苦味溶液濃度的不同,而發生不同變化,呈現持平,降低,增強的復雜變化趨勢;中濃度鮮味物質加入不同濃度的苦味溶液中,電子舌檢測到的苦味強度先變化不大,后苦味降低,而感官評價苦味強度,苦味強度呈現降低,持平,降低,的變化趨勢;高濃度鮮味物質加入不同濃度的苦味溶液中,電子舌檢測到的苦味強度先降低后變化不明顯,感官評價的苦味強度先表現為降低,增強,降低,增強的復雜變化趨勢。
由上述可知,中高濃度(0.34-1.00g/L)的鮮味物質的添加對低濃度(0.001-0.003g/L)的苦味具有抑制作用,可以降低苦味強度,為苦味強度的掩蓋提供理論依據。
3.4.4 鮮味物質的添加對咸味強度的影響作用
按表稱取一定量的咸味物質與不同濃度的鮮味物質相互混合配成100mL的溶液,待用。通過電子舌和感官評價兩種方法對鮮味和咸味的二元相互作用結果進行分析,結果見表2.7。
表2.7 鮮味與咸味物質的二元相互作用的結果

由上述可知,低中濃度(0.08-0.34g/L)的鮮味物質的添加對中高濃度(0.69-2.00g/L)的咸味具有協同增效作用,可以提高咸味強度,為低鹽調味品的研制提供理論依據。
4本章小結
4.1基于電子舌探究8種不同濃度梯度的單一鮮味物質的響應變化規律,得出不同濃度梯度鮮味物質的響應值隨濃度的增加而增加,且鮮味響應值與濃度呈正相關的半對數關系,8種鮮味物質的曲線形狀和方程相似但不同,表明基于電子舌8種鮮味物質呈味特性相似但又各具特點。
4.2采用PCA和DFA兩種分析法對相同濃度梯度的8種鮮味物質進行區分識別,8種不同的鮮味劑能夠被很好的區分。區分指數為98,區分度較高。
4.3 通過電子舌技術和感官評價分析鮮味物質與酸味、甜味、苦味、咸味4種味覺物質的相互作用,其不同物質二元相互作用結果較復雜,初步得出中、高濃度(0.34-1.00g/L)鮮味物質的添加對低濃度(0.13-0.6g/L)酸味溶液具有緩沖作用,隨著鮮味物質的加入,酸味強度降低;低中濃度(0.08-0.34g/L)鮮味物質的添加對中高濃度(0.94-4.32g/L)
甜味溶液具有協同增效作用,可以提高甜味強度,為少糖飲料的開發提供理論基礎;中高濃度(0.34-1.00g/L)鮮味物質的添加對低濃度(0.001-0.003 g/L)苦味溶液具有抑制作用,可以降低苦味強度,為食品中苦味的掩蓋提供理論依據;低中濃度(0.08-0.34g/L)鮮味物質的添加對中高濃度(0.69-2.00 g/L)咸味溶液具有協同增效作用,可以提高咸味強度,為低鹽調味品的研制提供基礎。
來源:中外香精香料第一資訊 轉載請注明來源。
參考文獻
Kai Wang,Haining Zhuang,Fangling Bing,Da Chen,Tao Feng,Zhimin Xu.evaluation of eight kinds of flavor enhancer of umami taste by an electronic tongue.Food Science and Nutrition,9(4):2095-2104.
提醒:文章僅供參考,如有不當,歡迎留言指正和交流。且讀者不應該在缺乏具體的專業建議的情況下,擅自根據文章內容采取行動,因此導致的損失,運營方不負責。如文章涉及侵權或不愿我平臺發布,請聯系處理。




